
服務熱線
來源: 發表時間:2015-05-07 08:51:08 點擊次數:【】
在使用篩子時,既要求它的處理能力大,又要求盡可能多地將小于篩孔的紉粒物料過篩到篩下產物中去。因此,篩子有兩個重要的工藝指標:一個是它的處理能力,即篩孔大小一定的篩子每平方米篩面面積每小時所處理的物料噸數(t/m3·h),它是表明篩分工作的數量指標。另一個是篩分效率,它是表明篩分工作的質量指標,反映篩分的完全程度。
在篩分過程中,按理說比篩孔尺寸小的細級別應該全部透過篩孔,但實際上并不是如此,它耍根據篩分機械的性能和操作情況以及物料含水量、含泥量等而定。因此,總有一部分細級別不能透過篩孔成為篩下產物,而是隨篩上產品一起排出。篩上產品中,未透過篩孔的細級別數量愈多,說明篩分的效果愈差,為了從數量上評定篩分的完全程度,要用到篩分效率這個指標。
所謂篩分效率,是指實際得到的篩下產物質量與人篩物料中所含粒皮小于篩孔兄寸的物料的質量之比。篩分效率用百分數或小數表示。

式中 E——篩分效率,%;
C——篩下產品質量;
Q——入篩原物料質量;
α——入篩原物料中小于篩孔的級別的含量,%。
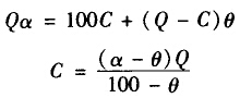
式2-1-3是篩分效率的定義式,但實際生產中要測定c和Q是比較困難的,因此必須改用下面推導出的計算式來進行。
按圖2-1-3所示,假定篩下產品中沒有大于篩孔尺寸的顆粒,就可以組成兩個方程式
(1)原料質量應等于篩上和篩下產物質量之和,即Q=C+T(2-1-4)
(2)原料中小于篩孔尺寸的粒級的質量,等于篩上產物與篩下產物中所臺有的小于篩孔尺寸的物料的質量之和,即Qα=100C+Tθ(2-1-5)
式中T——篩上產物質量;
θ——篩上產物中所含小于篩孔尺寸粒級的含量,%。

將公式(2-1-4)代入公式(2-1-5),得

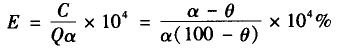
按照公式(2-1-3)表示的篩分效率的定義,將公式(2-1-6)代入公式(2-1-3)中,得到

必須指出,上式是指篩下產物中不含有大于篩孔尺寸的顆粒的條件下列出的物料平衡方程式,公式中的α、θ必須用百分數的分子代入。由于實際生產中,篩網常常被磨損,部分大于篩孔尺寸的顆粒總會或多或少的透過篩孔進入篩下產物,如果考慮這種情況,篩分效率應按下式計算:

式中,β為篩下產物中所含小于篩孔級別的含量,%。
篩分效率的測定方法如下:在入篩的物料流中和篩上物料流中每隔15—20min取一次樣,應連續取樣2—4h,將取得的平均試樣在檢查篩里篩分,檢查篩的篩孔與生產上用的篩子的篩孔相同。分別求出原料和篩上產品中小于篩孔尺寸的級別的百分含量α和θ,代人公式(2-1-7)中可求出篩分效率。如果沒有與所測定的篩子的篩孔尺寸相等的檢查篩子時,可以用套篩作篩分分析,將其結果繪成篩析曲線,然后由篩祈曲線圖中求出該級別的百分含量α和θ。
有時用全部小于篩孔物料來計算篩分效率,這樣算得的結果稱為總篩分效率。有時只對其中的幾個粒級作計算,算得的結果稱為部分篩分效率。全部小于篩孔的物料,包含易篩粒和難篩粒,所以總篩分效率就是這兩類粒子的篩分效率組成的。倘若部分篩分效率是用易篩粒求得的,它必然比總篩分效率大;如果是用難篩粒算出的,它就比總篩分效率小。
因為有以上講的這些情況,在遇見篩分效率時,就要注意是用什么公式算的,是總篩分效率還是部分篩分效率,否則就會對所研究的問題認識不清。
(1)含水率。物料的含水率又稱濕度或水分。附著在物料顆粒表面的外在水分,對物料篩分有很大影響;物料裂縫中的水分以及與物質化合的水分,對篩分過程則沒有影響。例如:篩分某些煙煤時,如水分達到6%,篩分過程實際L就難以進行了,因為煤的水分基本上是覆蓋在表面上的;但是,孔隙很多的褐煤的水分雖然達到45%,篩分過程仍然能夠正常地進行。
物料在細孔篩網上篩分時,水分的影響尤其突出。由于細粒級的物料的比表面積很大,所以其外在水分也最高c物料的外在水分,能使細顆粒互相粘結成團,并附著在大塊上。這種黏性物料會把篩扎堵住。除此以外,附著在篩絲上的水分,在表面張力的作用下,可能形成水膜,把篩孔掩蓋起來。所有這些情況,都妨礙了物料在篩面上按粒度分層,使細顆粒難以透過篩孔而留在篩上產物中。
物料所含水分如達到某一范圍,篩分效率急劇降低。這個范圍取決于物料的性質和篩孔尺寸。物料所含水分超過這個范圍以后,顆粒的活動性又重新提高,并逐漸達到濕篩的條件,換句話說,這時物料與水一起進行篩分了。
水分對某種物料的篩分過程的具體影響,只能根據試驗結果判斷。篩分效率與物料濕度的關系見圖2-1-4。圖中,兩種物料所受酌影響是不同的,產生差別的原因可以由這兩種物料具有不同的吸濕性能來解釋。

試驗表明,有時候把表面活性物質加到含水物料中,可以提高物料的活動性和分散性,改善篩分條件。用不能被水潤濕的材料制成的篩面,也能改善篩子的工作效率。
(2)含泥量。如果物料含有易結團的混合物(如黏土等),即使在水分含量很少時,篩分也可能發生困難。因為新土物料在篩分中臺鉆結成團,使細泥混入篩上產物中;除此以外,黏土也很容易堵塞篩孔。
黏土質物料和黏性物料,只能在某些特殊情況下用篩孔較大的篩面進行篩分。篩網粘住礦石時,必須采用特殊的措施。這些措施包括;濕法篩分(即向沿篩面運動的物料上噴水);篩分前預先脫泥;對篩分原料進行烘干。用電熱篩面篩分潮濕且有強性的礦石,能得到很好的效果。
在濕法篩分中,篩子的生產能力比干法篩分時高幾倍;提高的倍數與篩孔尺寸有關。濕法篩分所消耗的水量,取決于應該排到篩下產物中的部土混合物、細泥和塵粒的性質與數量,一般情況下,每1m³原料耗水1.5m³左右。如果工藝過程的條件容許進行濕法篩分,從生產廠房的防塵條件來看,濕篩比干篩更易于被人采用。在許多場合下.特別是篩分含砂較多的礦石時,為了減少塵埃飛揚,改善廠房衛生條件,通常使礦石保持一定的水分(4%。6%)。
(3)粒度特性。影響篩分過程的粒皮特性主要是指原料中含有對篩分過程有特定意義的各種粒級物料的含量。
表2-1-2列出了物料的粒度特性對篩分過程的影響。

由表2-1-2中可知,原料中所含的難篩粒及阻礙粒相對其他粒級較多時,對篩分過程不利:而所含的易篩粒和非阻礙粒相對其他粒級較多時,對篩分過程有利。
影響篩分過程的粒度特性還包括顆粒的形狀。對于三維尺寸都比較接近的顆粒,如球體、立方體、多面體等,篩分比較容易;而對于三維尺寸有較大差別的顆粒,如薄片體、長條體和怪異體等,在其他條件相同的情況下篩分就比較困難。
(4)密度特性。當物料中所有顆粒都是同一密度時,一般對篩分沒有影響。但是當物料中粗、細顆粒存在密度差時,情形就大不一樣。若閉粒密度小,細粒密度大,則容易篩分。比如對-50mm破碎級煤與-200網目磨碎級鐵礦粉的混合物的篩分,或從稻谷粒中篩出混入的細砂等。這是由于粗粒層的阻礙作用相對較小,而細粒級的穿層及透篩作用卻比較大。相反,若粗粒密度大,細粒密度小,比如含有較多粗粒級矸石的煤,篩分就相對因難。
(1)篩面運動形式。篩面運動形式關系到篩上物料層的松散度及需要透篩的細物料相對篩面運動的速度、方向、頻率等,因而對分層、透篩過程均合影響。例如,物料在固定篩上的運動,全靠物料在其本身重力的作用下滑移流動,篩分效果較差;在振動篩上,物料的運動能量主要來自篩面的振動,料層不斷地充分松散,顆粒相對篩面不斷地劇烈沖撞,篩分效果較好:轉筒篩運動平緩,料層松散度不夠,粗、細顆粒經常混雜,使分層不連續,物料相對篩面的運動速度較小,篩孔容易堵塞;搖動篩上的物料主要是沿篩面方向滑動,在篩面法向的速度分量較小,不利于細粒透篩。幾種典型篩子的篩分效率大致如表2-1-3所示。

在振動篩中,篩面的運動形式有因振動、直線振動和橢圓振動幾種。其中圓振動形式能使物料充分松散,抗堵孔能力強,但篩上物料的拋射角大,輸送能力小。為提高輸送能力,不得不加大篩面傾角,這使得篩分粒度不太嚴格,料層呈加速度輸送.減少了接近篩孔尺寸的顆粒在篩面排料端透篩的機會。直線振動形式不能使物料充分松散和重新排列,故細粒物料不易接近篩面而透篩,已經堵塞篩孔的顆粒不易拋出,使篩分過程惡化。但篩上物料的拋射角小,輸送能力較大,篩面一般呈水平或接近水平安裝,篩分粒度嚴格,料層呈勻速輸送,有利于接近篩孔尺寸的顆粒透篩。橢圓振動形式的“軌跡長軸”是強化篩上物料輸送的分量,“軌跡短軸”是促進物料松散的分量,因而兼有圓振動和直線振動的優點,并克服二者的缺點,故篩分質量較高。
(2)篩面結構參數。篩面結構參數如下:
1)篩面災度省長度。一般情況下,篩面寬度決定篩子的處理能力,篩面越寬,處理能力就越大;篩面長度決定篩子的篩分效率,篩面越長,效率就越高。對于振動篩,增加寬度常受到篩框結構強度的限制。通常.寬度越大,篩框的壽命就越短。目前,我國篩寬一般在2.5m以內,而有的國家篩寬達5.5m。
篩面長度達到一定尺寸后,篩分效率提高很少,甚至不再提高,此時再增加篩面長度只臺增加篩子的體積和質量。篩子的處理能力和篩分效率,是兩個相依相存的指標,必須同時兼顧才具有實際意義。一般是在確定篩寬后,再根據長寬比確定篩長。我國礦用振動篩的長寬比多采用2,煤用振動篩的長寬比為2.5。
2)篩面傾角。篩面傾角對篩分粒度有影響,傾角大,落下的粒度減小,傾角小,落下的粒度加大。為便于排出篩上物,篩面有時傾斜安裝。傾角的大小與篩子的生產率和篩分效率韋密切的關系,這是因為傾角大,料層在篩面上向前運動的速度就快,生產率就大,但物料在閱面上停留的時間縮短,減少了顆粒透篩機會,降低了篩分效率。
3)篩孔的大小、形狀及開孔率。篩孔越大,單位篩面積的處理能力就越高,篩分效率仕越高。篩孔的大小主要取決于篩分的目的和要求。對于粒度較大的常規篩分,一般是令篩孔尺寸等于篩分粒度;但是當要求的篩分粒度較小時,篩孔應該比篩分粒度稍大些;對于近似篩分,篩孔要比篩分粒度大很多。
常見的篩孔形狀有圓形、方形和長方形三種,依次以直徑、邊長和短邊長來表示篩孔的尺寸。當三種篩子具有相同的篩孔尺寸時,篩下產物的粒度上限卻不相同。篩下產物的最大粒度按下式計算:

式中 dmax——篩下產物最大粒度
L——篩孔尺寸;
k——系數,見表2-1-4。

圓形和方形篩孔所得到的篩下物的形狀較為規則,而片狀和條狀的顆粒則容易從長方形篩孔中漏下,因此,長方形篩孔一般制作得較小。但是,在篩分潮濕、黏性的物料時,若把長方形篩孔的長邊(通常稱為篩縫)顧著篩上物料的移動方向布置,就可減少對篩上物料的阻礙,從而減少堵塞。在一船情況下,篩孔尺寸越大,篩面開孔率就越高。在篩孔尺寸一定時,開孔率越大對篩分越有利,但開孔率常受到篩面強度、使用壽命的限制。
(3)操作條件的影響。對一定的篩子和篩分原料而言,操作條件主要是指給料的數量和給料方式。前者即篩子負荷,通常以t/(臺·h)或t/(m²·h)為單位,它與篩分效率的關系在前面已經論述;后者是指應保持連續和均勻地向篩子給料,其中均勻性既包括在任意瞬時的篩
子負荷都應相等,也包括物料是沿整個篩面寬度廣給進。此外,及時情理和維修篩面,也有利于篩分操作。