
服務熱線
來源: 發表時間:2015-05-06 15:36:05 點擊次數:【】
篩分就是將顆粒大小不同的混合物料,通過單層或多層篩子分成若干個不同粒度級別的過程。礦物在經過破碎后,常常以各種粒度不同的物料混合存在,有的物料甚至還含有水分、黏土或其他雜質,所以需通過篩分以滿足生產工藝及操作過程的要求。篩分可分為干法和濕法兩種,一般用干法,但對于潮濕物料,特別是潮濕并夾帶泥質的物料進行于法篩分很困難,這種物料在篩分時,需要在篩面上噴水,將細粒及泥質沖洗掉。還有一種特殊的濕法篩分,將篩面及物料浸在水面以下。
篩分作用概括起來有分級、脫水、脫泥、脫介,其中分級是最為常用的。篩分是按幾何粒度進行分級的,一般用于粗顆粒的分級,不用作紉粒物料的分級。細粒物料通常用水力分級。
松散物輯的篩分過程,可以看做兩個階段組成:
(1)易于穿過篩孔的顆粒通過不能穿過篩孔的顆粒所組成的物料層到達篩面;
(2)易于穿過篩孔的顆粒透過篩孔。
要使這兩個階段能夠實現,物料在篩面上應具有適當的運動.一方面使篩面上的物料層處于松散狀態,物料層將會產生祈離(技粒度分層),大顆粒位于上層,小顆粒位于下層,容易到達篩面,并透過篩孔。另一方面,物料和篩子的運動都促使堵在篩孔上的顆粒脫離篩面,有利于顆粒透過篩孔。
實踐表明,物料粒度小于篩孔3/4的顆粒,很容易通過粗粒物料形成的間隙,到達篩面,到篩面后它就很快透過篩孔。這種顆粒稱為“易篩粒”。物料粒度大于篩孔3/4的顆粒,通過粗粒組成的間隙比較困難,這種領教酌直徑眾接近篩孔尺寸,它透過篩孔的困難程度就愈大,因此,這種顆粒稱為“難篩粒”。下面用礦粒通過篩孔的概率理論來作說明。
礦粒通過篩孔的可能性稱為篩分概率,一般來說,礦粒通過篩孔的概率受到下列因素影響:(1)篩孔大小;(2)礦粒與篩孔的相對大小;(3)篩于的有效面積,(4)礦粒運動方向與篩面所成的角度;(5)礦料的含水量和含泥量。
由于篩分過程是許多復雜現象和因素的綜合,使篩分過程不易用數學形式來全面地描述,這里僅僅從顆粒尺寸與篩孔尺寸的關系進行討論,并假定了某些理想條件(如顆粒是垂直地投入篩孔),得到顆粒透過篩孔的概率的公式。
松散物料中粒度比篩孔尺寸小得多的顆粒,在篩分開始后,很快就落到篩下產物中,粒度與篩孔尺寸愈接近的顆粒,透過篩幾所需的時間愈長。所以,物料在篩分過程中通過篩孔的速度取決于顆粒直徑與篩孔尺寸的比值。
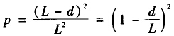
研究單顆礦粒透過篩孔的概率如圖2—1—l所示。假設有一個由無限細的篩絲制成的篩網,篩孔為正方形,每邊長度為L。如果一個直徑為d的球形顆粒,在篩分時垂直地向篩孔下落。可以認為.顆粒月篩邀不相碰時.它就可以毫無阻礙地透過篩孔。換言之,要使顆粒順利地透過篩孔,在顆粒下落時,其中心應投在紋有虜線的面積(L—d)²內(圖2—1—1a)。

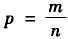
由此可見顆粒透過篩孔或者不透過篩孔是一個隨機現象。如果礦粒投到篩面上的次數有次,其中有M次透過篩孔,那么顆粒透過篩孔的頻率就是:

當n很大時,頻率總是穩定在某一個常數P附近,這個穩定值P就叫做篩分概率。因此篩分概率也就客觀地反映了礦粒透篩可能性的大小。

既然概率是某事件出現的可能性的大小,它也就永遠不會小于零,也不會大于1,總是在0與1之間,即:0≤p≤1。
可以設想有利于顆征透過篩孔的次數,與面積(L—d)²成正比,而顆粒投到篩孔上的次數,與篩孔的面積L²成正比。因此,顆粒透過篩孔的概率,就決定于這兩個面積的比值。

顆粒被篩絲所阻礙,使它不透過篩孔的概率之值等于(1—P)。
當某事件發生的概率為P時,使該事件以概率P出現如需要重復N次,N值與概率P成反比,即:

這里所討論的貝值就是顆粒透過篩孔的概率為p時必須與顆粒相遇的篩孔數目。由此可見,篩孔數目越多,顆粒透過篩孔的概率越小,當N值無限增大時,P愈接近于零。
取不同的今比值計算出的P和N值,見表2—1—1。利用這些數據可畫出圖2—14的曲線。曲線可大體劃分為兩段,在顆粒直徑d小于0.75L的范圍內,曲線較平緩,隨著頹粒直徑的增大,顆粒透過篩面所需的篩孔數目有所增加。當顆粒直徑超過0.75L以后,曲線較陡,顆粒直徑稍有增加,顆粒透過篩面所需的篩孔數目就需要很多。因此,用概率理論可以證明,在篩分實踐中,把d<0.75L的顆粒稱為“易篩粒”和d>0.75L的顆粒稱為“難篩粒”是有道理的。


若考慮篩絲的尺寸(圖2-1-1b),與上面所討論的原理一樣,得到顆粒透過篩面的概率公式:

式中 a——篩絲直徑;
L——方形篩孔的邊長。
上式說明,篩孔尺寸愈大,篩絲和顆粒直徑愈小,則顆粒透過篩孔的可能性愈大。
上一篇:我國粗磨機鋼球尺寸偏大的原因
下一篇:篩分效率及影響因素