
服務熱線
當前位置:首頁>媒體中心>產品百科>物料的粒度組成及粒度分析
來源: 發表時間:2015-05-14 11:21:08 點擊次數:【】
碎礦、磨礦和選別過程所處理的礦石,都是大小形狀各異的各種礦粒的混合物。從外表看“雜亂無章”,但按其粒度分布情況看,都有一定的規律性。粒度就是礦塊(或礦粒)大小的量度,一般以mm(或μm)為單位。借用某種方法將礦粒混合物分成若干級別,這些級別叫做粒級。用稱量法稱出各級別的質量并計算出其質量百分率(或累計質量百分率),也就是求出了各粒級的相對含量,礦;旌衔镏懈髁<壍南鄬拷凶隽6冉M成,從粒度組成可以看出各粒級在礦;旌衔镏械姆植记闆r,這種測定粒度組成的試驗叫做粒度分析。
在選礦生產過程中,物料的粒度、形狀及其分布規律對各作業指標有重大影響,針對油料的不同粒度范圍應采取個同的處理方法,在確定選礦工藝流程和選礦設備時,物料的粒度組成是需要考慮的一個重要因素。因此粒度分橋是選礦中經常遇到的一項重要工作。
常用的粒度分析方法,根據物料粗細不同,可以采用下列三種方法:
(1)篩分分析(簡稱篩析)。它是利用篩孔大小不同的一套篩子進行粒度分析。一般用于粒度為100—0.043mm的物料。
(2)水力沉降分析(簡稱水析)。它是利用不同尺寸的顆粒在水中的沉降速度不同而分成若干級別的分析方法。一般用于粒度為0.043—0.005mm的物料。
(3)顯微鏡分析。它主要用采分析微細物料,其最佳測定粒度范圍為0.04—0.001mm。一般用來校正水析。
在選礦生產和試驗研究中,經常采用的粒度分析方法是篩析和水析。
礦塊(或礦粒)一般都具有不規則的形狀,因此它的真實坡度是很難測定的,通常用近似的方法表示。根據研究對象和目的的不同,一般采用以下三種表示方法:
(1)平均直徑表示法。對于單個礦塊,為了表示它的大小,習慣上用平均直徑表示。當礦塊的粒度很大時,一般是直接進行測量,測出礦塊的長度和寬度,然后取二者的算術平均值,即為其平均直徑。如果要求準確度較高,或礦塊的形狀更不規則,則可再加測礦塊的厚度,取長、寬、厚三者的算術平均值為其平均直徑。
設礦塊的平均直徑為dp,則

式中,l為礦塊長度;b為礦塊寬度;h為礦塊厚度。
這種方法常用來測定大礦塊,如選礦廠用來測定碎礦機的給礦和排礦中的最大塊的粒度。
(2)等值直徑表示法。村粒度細小的礦塊可以用等值直徑dp來表示它的大。核^等值直徑就是與礦塊等體積的球體直徑。設礦塊的體積為v,其質量為G,密度為δ,而球的體積為πd³/6,在等體積的條件下,其等值直徑為

(3)粒級的表示法:最常用的粒級表示法是“上下限表示法”。物料進行篩分時,通過篩孔為al的篩面而留在篩孔為a2的篩面上的礦粒,其粒級表示為:

減號“-”表示小于,加好“+”表示大于。如:-10+6mm或10—6mm。
在碎礦和磨礦過程中所遇到的礦石都是含有各種粒級的混合物料,而這些混合物料的平均直徑對于了解物料的特性,研究粉碎理論,檢查碎磨礦設備的操作指標等都有重要意義。
A 平均粒度
平均粒度分以下兩種:
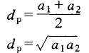
(1)窄級別混合物料的平均粒度。對于這種混合物料,可以用“上下限表示法”并計算其平均直徑;即根據混合物料中已知的最小粒度及最大粒度來計算。如上所述物料通過篩孔為小的篩面而留在篩孔為a2的篩面上的這部分物料的平均直徑可以用算術平均值表式
或采用幾何平均值 
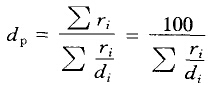
(2)寬級別混合物料的平均粒度。對于這種混合物料,可首先進行篩析,求出粒皮組成后采用統計學求平均值的方法計算其平均直徑。如已知混合物料中各窄粒級的平均直徑分別為d1、d2、d3、…,其產率分別為r1、r2、r3、…,則該物料的平均粒度可以下列三種方法計算
1)加權算術平均法:
2)加權幾何平均法:

取對數

3)調和平均法:

以上三種方法計算所得的結果是:算術平均值>幾何平均值>調和平均值
B 物料的均勻度
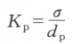
平均直徑雖反映了混合物料的平均粒度,但還不能全面說明物料的粒度性質。因為可能有這種情況,即兩批物料的平均直徑相等,但它們各相同粒級的產率不同,也可能它們的最大和最小粒度不同。為了能對物料的粒度性質有全面的說明,除平均粒度外,還要用偏差系數Kp來說明物料的均勻程度。其計算公式如下

上一篇:碎礦流程考查的計算及結果分析
下一篇:礦石自磨流程