
服務熱線
來源: 發表時間:2015-05-11 11:54:13 點擊次數:【】
普通混授土是由水泥、砂、石子和水組成。在混凝土中,砂石材料的總含量占總體積的80%以上,主要起骨架作用,稱為骨料;水泥與水形成水泥漿,水泥漿包裹在骨科表面并填充其空隙。在硬化前,水泥漿起潤滑作用,使混援土拌合物具有一定的流動性,以滿足施 工的要求。水泥漿硬化后形成水泥石,將骨科膠組成一個堅實的整體。水泥混凝土的結構如圖5.1。

混凝土的技術性質在很大程度上是由原材料的性質及其相對含量決定的。同時也與施工工藝(攪拌、成型、養護)有關,因此,我們必須了解其材料的性質、作用及其質量要求,合理選擇材料,才能保證混凝土的質量。
水泥是混凝土最關鍵的原材料。溫凝土強度的產生,主要依賴于水泥硬化的結果。其硬化的結果也決定著混凝土的使用功能和耐久性,同時還與混凝土的經濟性有關,所以,水泥品種與標號的選擇對混凝土十分重要。
1. 水泥品種選用
配制混凝土用的水泥,應從工程性質及所處的環境,結合水泥特性綜合考慮。常用水泥品種選用見表5.1。


2. 水泥標號選擇
配制混凝土選擇水泥標號應考慮充分發揮水泥強度的作用。標號低了不行,但過高也不好。從工程實踐中歸納統計,對一般強度的混凝土,通常按混凝土強度等級的1.5-2.0倍確定水泥標號;對高強度的混凝土,一般按混凝土強度等級的1.0-1.5倍確定水泥標號。若選用的水泥標號過高,水泥用量則會過少,但為了滿足施工和易性,混凝土耐久性及技術規范中關于最小水泥用量的要求,須再增加水泥用量,這樣會產生超強現象,表現出不經濟;若選用的水泥標號過低,水泥用量則會過多,既不經濟也難以保證混凝土的強度和耐久性等技術指標的要求。
細骨料是指粒徑在5mm以下的巖石顆粒,一般又可分為天然砂及人工砂兩類。
天然砂:按產源不同可分為河砂、海砂及山砂,其中以河砂應用員廣。河砂顆粒表面圓滑,比較潔凈,分布較廣,質量優于海砂及山砂。海砂雖然也具有河砂的優點,但常混有貝殼碎片,含鹽分較多,對混凝土的質量有一定的影響。山砂為巖石風化后在原地沉積而成,表面粗糙,顆粒多棱角,含泥量較高,有機雜質也較多,故質量較差。
人工砂:用巖石軋碎而成。人工砂富有棱角,比較潔凈,但含片狀顆粒及石粉較多。由于人工砂成本較高,只有缺乏天然砂的地區才考慮使用。
混凝土用砂都有一定的質量要求,我國現行的技術標準是《普通混凝土用砂質量標準及檢驗方法》(JGJ52-92)。檢驗砂子質量主要從以下幾個方面考慮。
1. 有害雜質含量
為保證混凝土質量,對砂中各種有害雜質必須加以限制。
(1)含泥量 是指粒徑<0.080mm的塵屑、淤泥及粘土的總含量。這些物質吸附在砂粒表面,阻礙水泥漿與砂漿結合,使混凝土強度降低。含泥量過大,還會增加混凝土用水量,從而增大混凝土的收縮。尤其是含有泥土團時,對混凝土質量影響更為嚴重。
(2)云母 云母里片狀,表面光滑,與水泥漿粘結力差,且易風化,影響混凝土強度及耐久性。
(3)輕物質 指表觀密度<2g/cm³的顆粒,如煤屑、貝殼等有機物質。它們也影響混凝土的強度及耐久性。
(4)硫化物及硫酸鹽 當砂中含有黃鐵礦、石膏等硫化物及硫酸鹽時,對水泥有腐蝕作用,降低溫凝土的耐久性。
(5)有機質 一般是指腐殖酸及其他有機酸類。有機質也對水泥起腐蝕作用。
(6)氯鹽 海砂氮鹽含量較大時,對鋼筋有銹蝕作用。當采用誨砂配制鋼筋混凝土時,其氯離子含量要求不超過0.06%(以干砂質量百分率計);須應力混授土不宜使用海砂,若必須考慮使用時,事先經淡水沖洗,氯離子含量要求不超過0.02%。
國標JGJ52-92中對砂中有害雜質含量的規定見表5.2。

當必須考慮使用有害雜質含量超過表5.2規定值的砂拌制混凝土時,可用清水沖洗;有機物多時,可用石灰水沖洗,然后抽樣檢驗,檢驗結果合格的,可在施工中沖洗后使用。若無試驗條件,可用已沖洗的砂與未沖洗的砂各制作水泥砂漿試件,測定抗壓強度對比試驗。為選擇或取舍提供條件。
2. 物理性質
(1)砂的表觀密度一般為2.6-2.7g/cm³。
(2)砂的堆積密度在疏松狀態下為1350-1700kg/cm³,在搗實狀態下為1600-1700kg/cm³。
(3)砂的空隙率P,處于干燥狀態下一般為35%-45%。
(4)砂的含水狀態,狀態如圖5.2。

砂子在100-105℃條件下烘至恒重時,稱為全干狀態。砂子長期放在一定溫度及濕度的空氣中,使砂子吸收或散失水分,直至達到穩定的含水量時,稱為氣干狀態。當砂子顆粒表面干燥,而顆粒內部孔隙含水飽和時,稱為飽和面干狀態。當砂子不僅內部孔隙含水飽和,而且表面還吸附水分時,稱為濕潤狀態。分析這四種含水狀態乃是為了解決混凝土配合比設計中用水量的計算。一般建筑工程中,是以氣干狀態的砂子為基推,即將砂子的含水量全部計入拌和用水量。但實際在配制混凝土的攪拌過程中濕砂內部孔隙是處于飽和狀態的,這部分飽和水并沒有與水泥起水化反應,使實際水灰比小于設計水灰比。因此,比較合理的方法是以飽和面干狀態的砂子為基準,因為這種含水狀態既不從混凝土拌合物中吸收水分,也不給混凝土拌合物帶入水分,所以實際水灰比和設計水灰比是一致的。當工地采用濕砂攪拌混凝土時,砂中水分計入拌和用水量的應該是表面含水量,表面含水量可由含水量減吸水量求得。一些大型工程常以飽和面干狀態為基準。以上方法也同樣適用于祖骨料(石子)。
3. 砂的粗細與顆粒級配
在混凝土拌合物中,必須有足夠的水泥漿包裹砂粒表面,并填充砂粒間的空隙。為了節約水泥,減少水泥漿用量,就要求減少砂子的總表面積及空隙率。而砂的總表面積與粗細程度有關,空隙率則與頤敞級配有關。
砂的粗細程度是指不同粒徑的砂混合在一起的平均粗細程度。通常砂子按粗細程度分為粗砂、中砂、細砂及特細砂。在相同質量的條件下,粗砂顆粒數量少,總表面積較小;反之,細砂顆粒數量多,則總表面積大。因此,一般用粗砂拌制混凝土比用細砂更節約水泥。但砂料過粗,會使拌出的混凝土粘聚性較差,容易分層離析,使混凝土產生泌水現象,影響混凝土的和易性。
砂的顆粒級配是指不同大小顆粒的砂子組合情況。一般粗細均勻的砂粒,其孔隙率較大,但如果各種粒徑的顆粒搭配恰當,使中等顆粒能填充粗顆粒的空隙,細顆粒又能填充中等顆粒的空隙,就可以使砂子得到較小的空隙率,如圖5.3所示。因此,砂子的空隙率取決于砂料各級粒徑的搭配,級配好的砂子不僅可以節約水泥,還可以提高混凝土的密實性及強度。

砂的粗細和顆粒級配的判斷有賴于篩分析試驗。篩分析試驗是用一套孔徑(凈徑)為5、2.5、1.25、0.63、0.315及0.16mm的6個標準篩,格500g的干砂試樣由粗到紉依次過篩,然后稱得遺留在各篩上砂子的質量,計算出各篩上的分計篩余百分率(各篩上篩余量占砂樣總量的百分數)及累計篩余百分率(各篩和比該篩粗的所有分計篩余百分串之和)。篩余量、分析篩余百分率、累計篩余百分率的關系見表5.3。

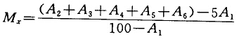
根據累計篩余百分率可以確定砂的細度模數,工程上以此來比較砂子的粗細程度。細度模數的計算公式如下:

細度模數越大,表示砂料越粗。當Mx=3.7-3.1時為粗砂;當Mx=3.0-2.3時為中砂;當Mx=2.2-1.6時為細砂;當Mx=1.5-0.7時為特細砂。若混凝土用特細砂配置,其質量要求應符合《特細砂混凝土配置及應用規程》(BJG19-65)的規定。
確定砂的級配狀況以級配區為標準,砂的級配區的確定如下:將紉度模數為3.7-1.6的砂,按0.63mm篩孔的累計篩余百分牢劃分為3個區。0.63mm在這里稱為控制粒級,它使任何一種砂樣只能處于某一個級配區范圍內,而不會同時局于兩個級配區,見表5.4所示。

混凝土用砂的顆粒級配的累計篩余百分率處于表5.4中任何一個級配區范圍,則認為該砂的級配合格‘若有超越,只允許在2.500mm、1.250mm、0.315mm和0.160mm四個篩孔發生,且超越總雖的絕對值應小于或等于5%,而對5.000mm和0.630mm篩孔,則不允許有超越;否則,砂的級配視為不合格。
級配區也可以用級配曲線表示,如圖5.4所示。

一般認為,處于級配曲線2區的砂,其粗細適中,級配較好。1區的砂含粗砂顆粒較多,屬于隨砂,其保水性差。3區的砂細砂顆粒多,用其配制的混凝土粘聚性大,保水性能好,但干縮性大,容易產生微裂縫。
混凝土用石子,一般指粒徑大于5mm的巖石顆粒,分碎石和卵石兩大類。碎石是由天然巖石或卵石經破碎篩分而得。卵石是巖石由于自然條件作用而形成,又分為河卵石、海卵石和山卵石。
碎石強度大而且組織均勻,顆粒表面多棱角,比較粗糙,空隙率與總表面積較大,拌制混凝土需要的水泥漿較多,與水泥漿的粘結力較強。宜用來配制高強度等級的混凝土。卵石表面光滑,空隙率和總表面積一般較小,拌制混凝土用水泥漿量也較少,混凝土的和易性較好,但與水泥漿粘結力較差,強度較低。
配制混凝土是選用碎石還是選用卵石要作全面比較衡量。一般工業與民用建筑混凝土用石的質量應滿足《普通混凝土用碎石或卵石質量及檢驗方法》(JGJ53-92)標準要求。其要求主要有以下幾個方面。
1. 有害雜質合量
粗骨料中的有害雜質,主要有粘土、淤泥、有機質、硫化物及硫酸鹽等。它們的危害作用與在細骨料中的作用相同,它們的允許含量應符合表5.5的規定。

當粗骨料中臺有活性二氧化硅時,能與水泥中的堿分發生反應,在骨料表面生成一種復雜的堿——硅酸凝膠體。這種凝膠體吸水時,它的體積會膨脹,使硬化后的混凝土產生裂縫,這種現象稱為堿一骨科反應。因此,當骨料中含有活性二氧化硅,而且水泥含堿量超過0.6%時,需進行專門的試驗。目前已經確定具有活性二氧化硅的巖石有:蛋白石、玉髓、鱗石英、方石英、硅鎂石灰巖、玻璃質或隱品質的流紋巖、安山巖及凝灰巖等。
2. 物理性質
(1)石于的表觀密度一般為2.5-2.7g/cm³;
(2)石子的堆積密度處于氣干狀態時,一被為1400-1700kg/m³;
(3)石于的空隙率P,堆積狀態下的碎石約為45%;堆積狀態下的卵石約為35%-45%。
3. 強度與堅固性
(1)強度
石子的強度,用巖石塊體抗壓強度或壓碎指標表示。
石于的抗壓強度,是在母巖中取樣制作立方體試件50mm×50mm×50mm,或制成直徑和高度均為50mm的圓柱體試件。將試件置于水中浸泡48h后進行強度試驗,要求巖石的抗壓強度與混凝土的強度等級之比大于或等于1.5。火成巖的抗壓強度不宜低于80MPa;水成巖的抗壓強度不宜低于30MPa;變質巖的抗壓強度不宜低于60MPa。
經常性的施工生產質量控制,多采用壓碎指標。對石子質量有爭議時,以其母巖抗壓強度為準。
石于的壓碎指標,反映石子抵抗壓碎的能力,可以較客觀地推測石子的強度。試驗采用粒徑為10一20mm的巖石顆粒為標準試樣,并在氣干狀態下進行,先將測定儀的圓筒置于底盤上,然后裝入試樣,整乎筒內試樣的表面,裝好壓頭再置于試驗機上,在160一300s內均勻加荷至200kN,穩定5s后卸荷,倒出筒中試樣稱其質量,再用孔徑為2.5mm的篩篩除被壓碎的細顆粒,同時稱出篩余量(M1),按下式計算石子的壓碎指標(精確至0.1%)。

對多種巖石組成的卵石,可對20mm以下和20mm以上的標準粒級(10-20mm)分別檢驗,計算總的壓碎指標。碎石及卵石的壓碎指標見表5.6。

(2)堅固性
石子的堅固性是指石于在氣候、環境變化或其他物理因素作用下,抵抗碎裂的能力。常用硫酸鈉溶液,將試件經5次循環浸泡后,要求試件質量的損失應符合表5.7的規定。質量損失越少,骨料越堅固,其質量也越好。

4. 最大粒徑
粗骨料公稱粒圾的上限稱為該粒級的最大粒徑。骨料的粒徑越大,其表面積相應減小,因此包裹其表面的水泥漿量將會減少,可節約水泥,但是當骨料最大粒徑超過150 mm后,節約水泥的效果已不很明顯了。所以需要綜合考慮來確定石子的最大粒徑。
根據《混凝土結構工程施工及驗收規范》(GB50204-92)規定,混凝土用粗骨料的最大粒徑不得大于結構截面最小尺寸的1/4,同時不得大于鋼筋最小凈距的3/4;對于混凝土實心板,骨料的最大粒徑不宜超過板厚的1/2,且不得大于50mm;對泵送混凝土,碎石員大粒徑與輸送管內徑之比宜小于或等于1:3,卵石宜小于或等于1:2.5。
5. 顆粒級配
粗骨料與細骨料一樣,也要求有良好的顆粒級配,以減小空隙率,增強密實性,從而可以節約水泥,保證混凝土的和易性及混凝土的強度。
粗骨料的級配也是通過篩分實驗來確定的,其標準篩孔徑為2.5mm、5mm、10mm、16mm、20mm、25mm、31.5mm、40mm、50mm、63mm、80mm及100mm十二個篩。分計篩余百分率、累計篩余百分率的計算與砂相同。依據標準JGJ53-92,普通混凝土用碎石及卵石的顆粒級配范圍應符合表5.8的規定。

粗骨料的級配按供應情況有連續級配和間斷級配兩種。連續級配是按顆粒尺寸由小到大連續分級.每級骨料有一定的比例。連續級配顆粒級差小,配制的混凝土和易性好,不易發生離析,目前應用較廣泛。間t9f級配是人為剔除某些中間粒級顆粒,大顆粒的空隙直接由比它小得多的顆粒去填充。顆粒級差大,空隙串的降低比連續級配快得多,使密實度增加,節約水泥用量,但混凝土會產生分層離折現象,一般工程中少用。
單粒級宜用于組合成具有所要求級配的連續粒級,也可與連續粒級配合使用,以改善骨料級配或配成較大粒度的連續粒級。工程中不宜采用單一的單粒級粗骨料配制混凝土。
水是混凝土的主要組成都分之一。對混凝土用水的質量要求是:不影響混凝土酌凝結和硬化;無損于混凝土的強度發展及耐久性,不加快鋼筋的銹蝕;不引起頸應力鋼筋脆斷;不污染混凝土表面。因此《混凝土拌合用水標準》(JGJ63—89)對混凝土用水提出了具體的質量要求。
混凝土用水按水泥可分為飲用水、地表水、地下水、海水及經適當處理后的工業廢水。拌制及養護混凝土宜采用飲用水。地表水和地下水常溶有較多的有機質和礦物鹽類,必須按標準規定檢驗合格后方可使用。海水中含有較多的硫酸鹽和氯鹽,影響混凝土的耐久性和加速鋼筋的銹蝕,因此對于鋼筋混凝土和頸應力混凝土結構,不得采用海水拌制;對有體面要求的混凝土,也不得采用海水拌制,以免表面產生鹽析而影響裝飾效果。工業廢水經檢驗合格后方可用于拌制混凝土。生活污水的水質比較復雜,不能用于拌制混凝土。
對水質有懷疑時,應將待檢驗水與蒸餾水分別做水泥凝結時間和砂漿或混凝土強度對比試驗。對比試驗測得的水泥韌凝時間差和終凝時間差,均不得超過30min,且其韌凝及終凝時間應符合國家水泥標準的規定。用待檢驗水配制的水泥砂漿或混凝土的28d抗壓強度不得低于用蒸餾水配制的對比試件強度的90%。混凝土用水中各種物質含量限制值見表5.9。

上一篇:提高篩分工藝指標的措施
下一篇:粉碎過程的基本概念